最新ニュース(2,373 ページ目)
IT・デジタル記事一覧(2,373ページ目)
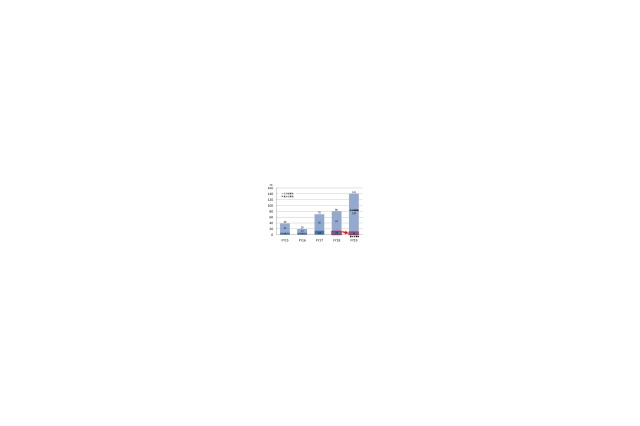
【総務省】通信事業IP系サービスの事故は増加、重大事故は減少傾向
その他
大塚商会とHP、MS、3社共同で大塚商会のデモセンターに総合ITソリューションを提供
その他
NEC、NTSC比70%、300cd/m2の放送・業務用HDVカメラ向け2.7型カラー液晶モジュール
その他
録画した番組を貯めておきたい人に最適! 日立、着脱式HDD対応の「Wooo」新モデル
テレビ
ナビタイム、「WILLCOM D4」にWindows Vista版NAVITIMEアプリをプリインストール〜「ドライブサポーターコース」にも対応
モバイルBIZ
ウィルコム、Windows Vista搭載のPHS「WILLCOM D4」を発表
その他
ジオサイエンスとNTTデータ他、日本列島の高精彩衛星地図「だいちマップ」の販売を開始
その他
NEC、耐環境性を向上したマルチレイヤスイッチ「UNIVERGE IP8800/S3640 ER」発売
その他
IIJ、Flash Video配信ソリューションにDRM機能を追加〜大規模動画配信をサポート
その他
コンセントでUSB機器に給電できるカラフルなアダプタ
その他
HP、エントリ向けディスクアレイ製品2製品とパートナー向け支援制度を発表
その他
アドビ、Flash/AIR向けコンテンツ保護ソリューション「Adobe Flash Media Rights Management Server」
その他
デジハリ、NTTデータ、フジヤマ、4K映像作品を完成させて世界に先駆けて公開
その他
米TI、携帯電話向けLinux推進団体・LiMo Foundationにコアメンバーとして加盟
その他
日立、コントラスト比30,000:1で黒の表現力を向上させたプラズマテレビ
テレビ
コレガ、6,930円の低価格USBワンセグチューナー
ノートPC
アッカ、企業向け低価格バックアップ専用ADSL回線をヴェクタントに提供開始
その他
日立、超薄型液晶テレビ「Wooo UT」シリーズのネット対応モデル——容量250GBのHDD搭載
テレビ
パトライト、ネット障害を自律監視「光・音・メール」で知らせる表示灯
その他
[FREESPOT] 12か所にアクセスポイントを追加
回線・サービス
[ホットスポット] 東京都のグランドプリンスホテル赤坂 別館など4か所でサービスを開始
回線・サービス
[NTT西日本 フレッツ・スポット] 福岡県内の2か所をエリアに追加
回線・サービス
HDMIで動画出力できる3.5型HDDムービープレーヤー/SATAとIDE対応
ノートPC
